• Home
  • Contact Us
  • About Us
CBSEzilla - A Place For Free Education

Ad

CBSEzilla - A Place For Free Education
  • Ncert Books
  • _Class 10
  • __Math
  • __Science
  • __Social Science
  • Ncert Solutions
  • _Class 10
  • __Maths
  • Cbse
  • _Previous Year Paper
  • __Class 12
  • Featured
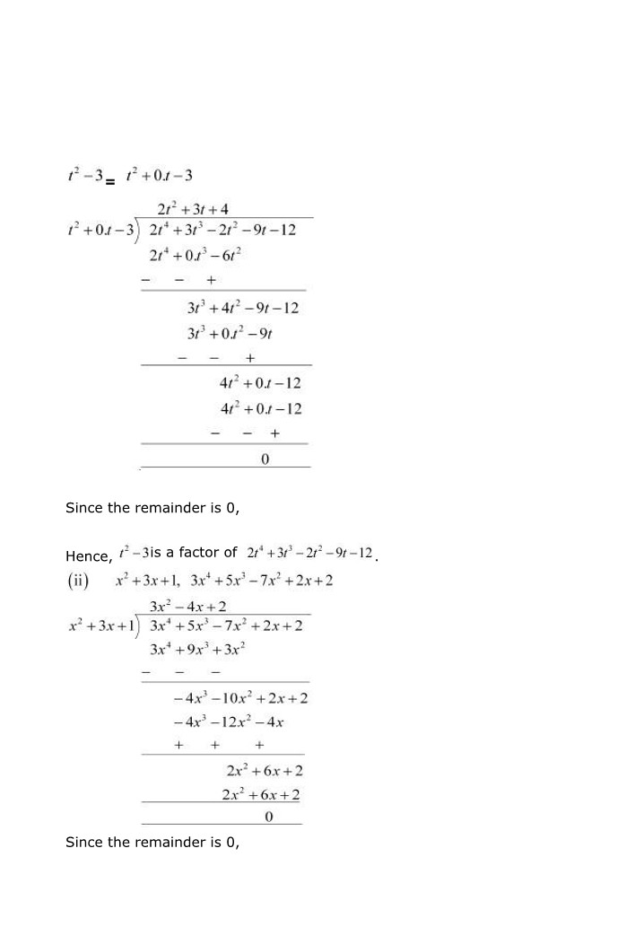
HomeNCERT Solutions For Class 10 Maths Chapter 2 Exercise 2.3

NCERT Solutions For Class 10 Maths Chapter 2 Exercise 2.3

Admin









  • Facebook
  • Twitter

Post a Comment

0 Comments

ad

by
© Copyright CBSEzilla || A Place For Free Education ||